肉蒲团

面向脑颅超声成像的宽带声阻抗匹配:肉蒲团 张辉教授团队提出分布压电调节的宽带声阻抗匹配结构

发布者:肉蒲团 发布时间:2024-06-17浏览次数:589

导读

声阻抗匹配被广泛应用于医学成像、无损检测和水下通信等领域,它是科学和工程界的重要问题。例如在脑颅超声成像中,迫切需要一种能够同时对阻抗差异较大的介质(人体软组织≈1.5 MRayls,颅骨≈5.7 MRayls)实现宽带匹配的声学结构。

针对这种宽带可调节的声阻抗匹配层需求,肉蒲团 张辉教授团队提出了基于梯度分布压电结构的宽带可调节声阻抗匹配(BTAML)结构。该结构的有效阻抗可通过外部分流电路进行控制。理论与仿真结果表明,设计的宽带可调节声阻抗匹配能够实现1.520 MRayls的阻抗调节,工作带宽可达0.2-1.4MHz, 根据需要带宽可以进一步扩展。相关成果以“Broadband tunable acoustic impedance matching using gradient-distributed piezoelectric structure”为题发表于该领域知名期刊《Applied Physics Letters()

 

研究亮点

本研究设计并制备了一种既能宽带声阻抗匹配又能阻抗分布实时可调的声学匹配层,该匹配层是由周期性排列的压电单元阵列与非均匀梯度分流电路组成,其中每个压电单元对应一个分流电路,以提供渐变的有效声阻抗。分流电路包括串联连接的定值电阻、定值电感和可调负电容等效电路,电路通过电极层和压电陶瓷串联形成闭合回路。通过压电本构方程获得压电可调单元沿声传输方向的等效声阻抗,通过对电容等电路元件参数化分析,获得阻抗可调节范围。

1 声阻抗调节结构与等效电路图

2 阻抗与电路参数的函数关系图

在单元设计的基础上,可将单元周期性排列且分流电路参数渐进变化,多单元排列的主要目的在于增宽工作频率。基于传输矩阵法,考虑多单元声阻抗匹配层的声传输谱,验证了多层声阻抗匹配层结构对声传输的增强效果。

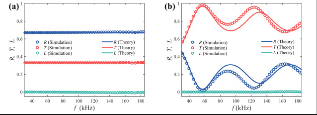
2 声透射和反射特性 (a) 无匹配层结构,(b) 有匹配层结构

在实际的超声检测中,通过测量压电传感器接收到的回波信号,有声阻抗匹配层的情况下,脉冲幅值显著提升,验证了宽带可调节声匹配层的声阻抗匹配效果。

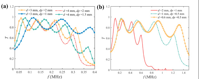
 3 压电单元尺寸对声透射的影响

 

总结与展望

本研究设计了一种宽带可调谐声学匹配层。与传统匹配层相比,压电可调单元可实现 1.5  20 MRayl的可调阻抗,工作带宽可达0.2-1.4 MHz, 根据需要带宽可以进一步扩展。本文提出的宽带可调匹配为可调谐匹配层的设计提供了思路,大大提高了声学匹配层的利用效率。此外,可以通过结构设计、原理类比等方式,拓展其声学特性及应用场景。例如,非线性超声颅内成像是一种测量脑内动脉血流速度并进行医学成像的常用方法,目前超声颅内成像的主要问题在于通过头骨穿透大脑内部的超声波能量较低,导致信噪比较低,主要原因包括软组织、头骨和大脑构成的三层介质的强阻抗失配。宽带声阻抗匹配层设计可以满足在基波、高次谐波处具备高透射率,从而降低非线性回波信号的传输损失,增强成像效果。